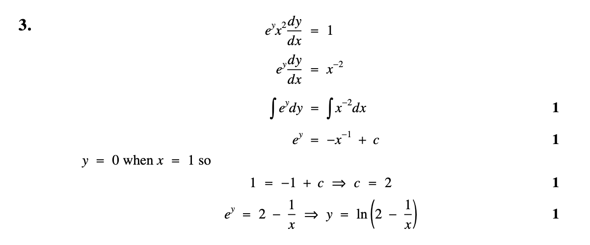
Questions by Topic: 2009 Question 3 (Differential Equations)


You are currently using the old version of this site. Consider switching to the new site with additional features such as progress tracking across multiple devices at AHmaths.com.
Complete the question below, and then click 'Reveal marking instructions/video' to reveal the marking instructions and a DLBMaths video covering the question if available. Click on any image to enlarge it. Enlarging images may not work as expected on older browsers.
Formula Sheet
Reveal marking instructions/video